After joining the Twitter Open Middle conversation last week, I was intrigued to try out some Open Middle problems in the last few weeks of school. To kick off our review for the final exam, I posed one problem to Algebra II and one to Geometry. My students reactions were great, starting with one kid saying, “nope, Mrs. Taplin, it’s impossible.” After explaining the concept of “Open Middle” and encouraging them to have some grit and resilience with the problems, my students really got into it. Some proudly held up their whiteboards for me to check when they got their answer, many requested just a bit more time so they could finish it, one excitedly jumped out of his seat when he got the answer, and another claimed, “this is my greatest accomplishment!” I would say that means Open Middle was a success!
Here are the problems I used and if you haven’t checked out Open Middle, it’s a great resource…here is the site for even more information on these types of problems: http://www.openmiddle.com/.
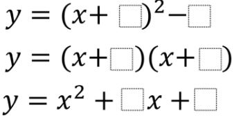
Algebra II: Create three equations that produce the exact same parabola by filling in the blanks with whole number 0 through 9, using each number at most once.
Geometry: What is the longest chord in a circle that has an area of 25pi square units?
What I like most about these problems is the conversation that unfolds with students. For the Algebra II problem, I started with vertex form, but several students started with factored and/or standard form. One student said she went from standard to vertex, but another argued that she did both factored and standard, then graphed to get vertex (something I didn’t even think of doing, but what a great well rounded way to review this concept). In geometry, I thought this problem might be too easy, but with the different way of thinking from more straight forward problems it created a challenge to students. I loved the conversation focused around vocabulary, the “good mistakes” (as I like to say) students made, and the corrections they did. Several students got 5 units for their answer, but forgot that the question was asking for a chord, not a radius. It forced students to reevaluate their answer and not stop too early.
I like to do Mental Math Monday’s (I got this idea from my mom…the teacher verbally says a string of arithmetic problems and students try to quickly get to the correct answer in their heads) for warm ups into class on Monday’s, so maybe I can add this to the week rotation next year and try Open Middle Wednesday’s (since it’s the middle of the week). Thanks again, Open Middle, for some great ideas!

One thought on “Open Middle”